Artikelnr.: VW-Caddy-9K-0003
ISBN/EAN: 9783741712050
Volkswagen AG

Inhalt/Thema: Elektrische Anlage

Kurzbeschreibung: Service- und Reparaturanleitungen sind Handbücher, die Fahrzeugbesitzern und Mechanikern detaillierte Informationen zur Wartung, Diagnose und Reparatur von Autos bieten. Sie enthalten Schritt-für-Schritt-Anweisungen, Explosionszeichnungen, technische Daten und Illustrationen, um Fahrzeugkomponenten verständlich zu machen. Die Anleitungen sind in verschiedene Reparaturgruppen unterteilt, mit durchschnittlich 20 bis 30 Leitfäden pro Fahrzeugmodell, die Bereiche wie Karosserie, Fahrwerk, elektrischen Systemen, Motor, Getriebe abdecken. Durch die Nutzung dieser Anleitungen können Fahrzeugbesitzer Kosten sparen und die Lebensdauer sowie Leistung ihres Fahrzeugs optimieren. Eine gut strukturierte Reparaturanleitung ist ein wertvolles Werkzeug für jeden, der sich mit der Fahrzeugtechnik vertraut machen möchte.
21,90 € *
Versandkostenfrei in DE
Dieses Produkt ist nicht vorgefertigt und wird wie nachfolgend von Ihnen ausgewählt individuell hergestellt:
Sprachauswahl:
Druckvariante:
Druckqualität:
Papierqualität:
Einbandqualität:
21,90 € *
Versandfertig in: 24 Stunden (Mo-Fr)
Stk.

Weitere empfohlene Produkte:

Produktinformationen auf einen Blick
Marke:
Volkswagen
Modell:
Caddy
Typ:
9K, 9K9, 9KV
Baujahre:
11.1995 bis 08.2003
Inhalt/Thema:
Elektrische Anlage (KEINE Schaltpläne enthalten!)
Seitenzahl:
138
Gewicht:
ca. 450 g
Herstellungsart:
Druck auf Bestellung / autorisierter Nachdruck *
Verlag:
KFZ-Verlag
Artikelart:
Format:
Ringbindung, ca. 300 mm x 225 mm
Material:
Einband aus recyclebarem Kunststoff, Innenteil aus Papier
Ausgabe:
aktuellste lizenzierte Ausgabe **
Artikelzustand:
Neuware
Sprache:
Deutsch
Druckvariante:
schwarz/weiß ***
Lizenzierter Nachdruck der originalen Reparatur- und Werkstattanleitungen
Dieses Buch behandelt folgendes Thema: Elektrische Systeme

Dieses Handbuch befasst sich ausschließlich mit den elektrischen Systemen, bei denen der Ausbau- und Einbau der jeweiligen Komponenten erklärt wird. Es wird neben weiteren Inhalten der Wechsel einer Glühbirne oder der Aus- und Einbau der Sitzheizung behandelt.

Mit diesem Reparaturleitfaden arbeitet jede Vertragswerkstatt, sodass Sie mit dessen Hilfe alle Arbeiten fachgerecht erledigen können. Enthalten sind hierbei technische Daten und detailreiche Reparaturbeschreibungen. Je nach Thema/Inhalt der hier angebotenen Anleitung finden Sie Beschreibungen zu Aus- und Einbauarbeiten, Einstell- und Prüfarbeiten und zahlreiche Grafiken, Bilder oder Explosionszeichnungen, welche unter anderem auch das Zerlegen und Zusammenbauen ermöglichen. Benötigte Werkzeuge oder Spezialwerkzeuge werden beschrieben, sodass Sie genau wissen, was Sie für die jeweilige Reparatur benötigen.

Bitte beachten Sie, dass in diesem Buch generell keine Stromlaufpläne enthalten sind. Aufgrund ihres Umfangs werden Schaltpläne stets separat angeboten und sind ebenfalls in unserem Shop erhältlich.
Die Buchreihe vom KFZ-VERLAG
Umfangreiche Informationen auf höchstem Niveau

Unsere Reparaturhandbücher sind gezielt in diverse Themenbereiche, Kapitel, Reparaturgruppen und Fahrzeugsektionen unterteilt, um eine bessere Übersichtlichkeit zu gewährleisten. Im Durchschnitt gibt es für jedes Fahrzeugmodell zwischen 20 bis 30 unterschiedliche Reparaturleitfäden, die sich mit Bereichen wie Karosserie, Fahrwerk, elektrischen Systemen, Motor, Getriebe und anderen Themen befassen. Zusammen bilden sie das umfassende Werkstatthandbuch und decken jedes Detail des Fahrzeugmodells ab! Wenn Sie uns darüber informieren, welche Reparaturen an Ihrem Fahrzeug notwendig sind, unterstützen wir Sie gerne dabei, die entsprechenden Dokumente zu finden.

Vorteile unserer Bindung

Unsere Bücher sind mit einer hochwertigen Kunststoffringbindung ausgestattet. Diese Bindung ermöglicht ein problemloses Umblättern bis zu 180 Grad, ohne dass der Buchrücken beschädigt wird. Der Einband besteht aus recyclebaren Kunststofffolien und schützt so vor Schmutz und Feuchtigkeit, was ideal für den Einsatz in der Werkstatt ist!

Hergestellt in Deutschland
Bücher vom KFZ-VERLAG werden in Deutschland produziert. Jedes Exemplar wird in unserer eigenen Produktion in Deutschland auf modernen und regelmäßig gewarteten Anlagen gedruckt, maschinell gestanzt und danach in Handarbeit gebunden. So können Sie sicher sein, dass jedes Buch, das unser Haus verlässt, eine Qualitätsprüfung durchlaufen hat. Auf diese Weise gewährleisten wir hohe Qualität und schnelle Lieferungen, damit unsere Kunden zufrieden sind.
Diese Unterlagen beinhalten folgende Reparaturuntergruppen
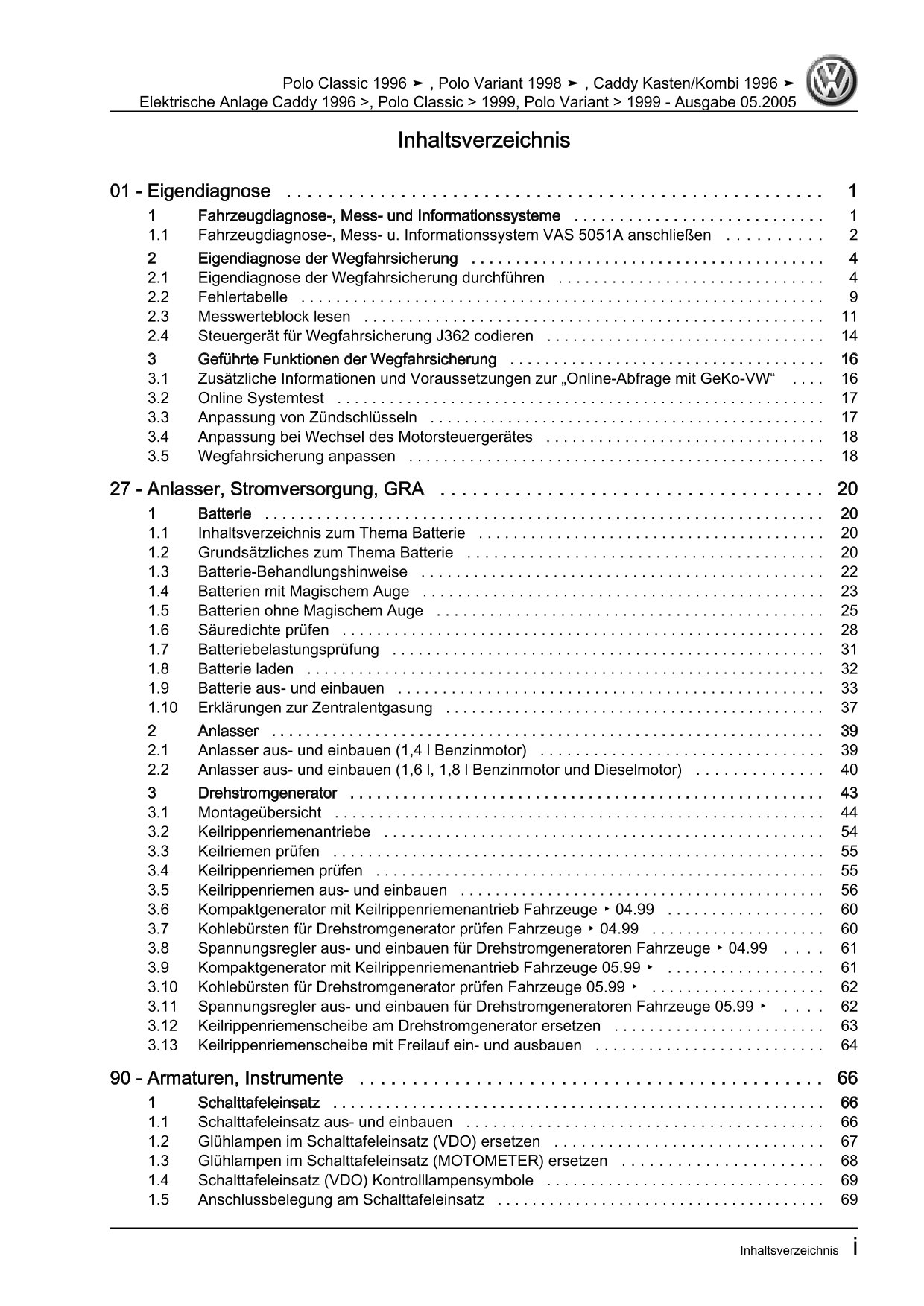
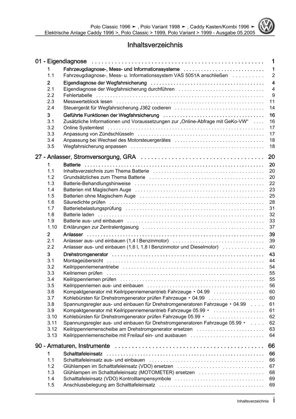
01 - Eigendiagnose
27 - Anlasser, Stromversorgung, GRA
90 - Armaturen, Instrumente
92 - Scheibenwisch- und -waschanlage
94 - Leuchten, Lampen, Schalter - außen
96 - Leuchten, Lampen, Schalter - innen
97 - Leitungen
Allgemeines Inhaltsverzeichnis
Thema - Elektrische Anlage ****

  • Aus- und Einbauarbeiten
  • Montageübersicht
  • Stromversorgung, Batterie, Anlasser, Generator
  • Geschwindigkeitsregelanlage (GRA), Tempomat
  • Start-Stopp-System
  • Armaturen, Instrumente
  • Schalttafeleinsatz
  • Signalhorn, Hupe
  • Scheibenwisch- und Waschanlage
  • Front- und Heckscheibenwischer und Waschanlage
  • Leuchten, Lampen, Schalter außen und innen
  • Scheinwerfer, Scheinwerfer einstellen
  • Scheinwerferreinigungsanlage
  • Fernlicht, Nebelscheinwerfer, Seitenblinkleuchten
  • Schlussleuchten, Bremslicht, Kennzeichenleuchte
  • Einparkhilfe, Parkassistent, Parksensoren/Kamera
  • Anhängevorrichtung
  • Leuchten und Bedienungselemente
  • Weitere Leuchten im Innenraum
  • Wegfahrsicherung, Diebstahlwarnanlage (DWA)
  • Zündanlassschalter und Schließzylinder
  • Leitungen und Stecker
  • Relaisträger, Sicherungsträger, E-Boxen
  • Steuergeräte
  • Steckverbindungen
  • Lambdasonde
  • Fehlerdiagnose-, Mess- und Informationssysteme
  • uvm.
Weitere Informationen
*: Dieses Produkt wird exklusiv auf Bestellung für Sie produziert. Dieser Artikel ist nicht vorgefertigt und vom Widerruf ausgeschlossen.

**: Diese Unterlagen werden fortlaufend aktualisiert und können Platzhaltergrafiken enthalten. Die Inhalte sind für den Werkstattgebrauch ausgelegt und weisen die hierfür übliche Formatierung seitens des Herstellers auf.

***: Wir bieten unsere Unterlagen in unterschiedlichen Konfigurationen an. Hierbei kann der Kunde folgende Kriterien individuell auswählen: Druckqualität, Papierqualität und Einbandqualität (jeweils in Standard oder Premium). Diese Auswahl steht nicht auf allen Plattformen zur Verfügung. Sollten Sie also keine Auswahlmöglichkeit vorfinden, so erfolgt die Produktion grundsätzlich im Standardverfahren und vollständig in schwarz/weiß.

****: Die Inhaltsangabe kann vom tatsächlichen Inhalt abweichen. Sie können in den meisten Fällen das exakte Inhaltsverzeichnis unter "Downloads" herunterladen oder in der Bildergalerie kostenfrei einsehen. Bei speziellen Fragen zum Inhalt nehmen Sie bitte vor dem Kauf mit uns Kontakt auf.

Bitte beachten Sie, dass Produktbilder teilweise beispielhaft dargestellt sein können und je nach den von Ihnen gewählten Produkteigenschaften anders aussehen können. Zur Produktdarstellung nutzen wir teilweise KI-generierte Bilder, die ausschließlich der Illustration dienen. Ein Einblick in Teilauszüge der Unterlagen oder eine Teilbestellung ist leider nicht möglich. Zur Orientierung stellen wir jedoch in allen Produkten beispielhafte Darstellungen in der Bildergalerie zur Verfügung.. Bei Fragen zum Inhalt oder bei etwaigen Problemen nehmen Sie bitte Kontakt zu uns auf, gerne helfen wir Ihnen werktags (montags bis freitags) von 08:00 bis 14:00 Uhr weiter.

Hinweise zur Fahrzeugdarstellung

Im Verlauf der Modelllaufzeit können Fahrzeuge durch Facelifts oder Modellpflegen verändert werden; dargestellt ist in der Regel die Fahrzeugversion zum Beginn der Bauzeit.

Bitte beachten Sie die angegebenen Baujahre und Typbezeichnungen, um sicherzustellen, dass die Unterlagen Ihr Fahrzeugmodell korrekt abdecken. Sofern diese Angaben auch Facelift-Varianten umfassen, werden diese in den Unterlagen entsprechend berücksichtigt.
Rechtliche Informationen Volkswagen AG
Reparaturarbeiten dürfen nur von geschultem Fachpersonal durchgeführt werden. Bitte nutzen Sie bei allen Reparaturen die aufgeführten Spezialwerkzeuge.

Copyright by Volkswagen AG - Urheberrechtlich geschützt.

Kopieren für private und gewerbliche Zwecke, auch auszugsweise, nur mit Genehmigung der Volkswagen AG. Die Volkswagen AG gibt keine Gewährleistung oder Garantie hinsichtlich der Aktualität, Richtigkeit und Vollständigkeit der Angaben in diesem Dokument. Haftungsansprüche, welche sich auf Schäden materieller oder ideeller Art beziehen, die durch Nutzung oder Nichtnutzung der angebotenen Informationen bzw. durch die Nutzung fehlerhafter und unvollständiger Informationen verursacht wurden, sind grundsätzlich ausgeschlossen. Die Benutzung erfolgt auf eigene Gefahr.

Rechtliche Hinweise zu Abbildungen, Nutzungsrechten und Quellen:

Die auf dem Cover und in begleitenden Materialien dargestellten Fahrzeuge oder Fahrzeugkomponenten sind rein digital erzeugte Modellabbildungen, die durch die KFZ-VERLAG GmbH auch unter Nutzung von künstlicher Intelligenz (KI) erstellt wurden. Die Abbildungen dienen ausschließlich der illustrativen Darstellung zur besseren visuellen Zuordnung.

Sämtliche Bildrechte liegen bei der KFZ-VERLAG GmbH. Eine Nutzung, Weitergabe oder Veröffentlichung der Abbildungen außerhalb dieses Produkts ist nur mit vorheriger schriftlicher Zustimmung der KFZ-VERLAG GmbH zulässig.

Die dargestellten Fahrzeugmodelle und Visualisierungen wurden inhaltlich mit den jeweiligen Automobilherstellern abgestimmt.
Inhaltsverzeichnis
So stellen wir sicher, dass Bewertungen von echten Verbrauchern kommen.

  aus Bad Kissingen