%
Artikelnr.: VW-Beetle-5C-0025
ISBN/EAN: 9783741708183
Volkswagen AG

Inhalt/Thema: 4-Zylinder Dieselmotor (Common Rail, 4V, Turbolader)
Kraftstoffart: Diesel
Motorkennbuchstaben (MKB): CVCA, CUUA, CUUB, DELA, DEBA
Motorleistung in kW/PS: 81, 110 kW / 110, 150 PS
Hubraum: 2,0l

Bitte achten Sie vor einem Kauf auf das Baujahr und den Motorkennbuchstaben in der Artikelbeschreibung. Falls Ihr Motorkennbuchstabe nicht aufgeführt ist, ist das Buch nicht für Ihr Fahrzeug geeignet. Kontaktieren Sie uns gerne, um die passenden Dokumente zu erhalten.
32,22 € *
Versandkostenfrei in DE
5,69 € (15.00 %) gespart!
unser alter Preis: 37,90 €
gültig bis 10.11.2025
Dieses Produkt ist nicht vorgefertigt und wird wie nachfolgend von Ihnen ausgewählt individuell hergestellt:
Sprachauswahl:
Druckvariante:
Druckqualität:
Papierqualität:
Einbandqualität:
32,22 € *
unser alter Preis: 37,90 €
gültig bis 10.11.2025
Versandfertig in: 24 Stunden
Stk.

Weitere empfohlene Produkte:

Produktinformationen auf einen Blick
Marke:
Volkswagen
Modell:
Beetle
Typ:
5C, 5C1, 5C7, 5C8
Baujahre:
06.2011 bis 07.2016
Inhalt/Thema:
4-Zylinder Dieselmotor (Common Rail, 4V, Turbolader)
Kraftstoffart:
Diesel
CVCA, CUUA, CUUB, DELA, DEBA
Motorleistung in kW/PS:
81, 110 kW / 110, 150 PS
Hubraum:
2,0l
Seitenzahl:
461
Gewicht:
ca. 1310 g
Herstellungsart:
Druck auf Bestellung / autorisierter Nachdruck *
Verlag:
KFZ-Verlag
Artikelart:
Format:
Ringbindung, ca. 300 mm x 225 mm
Material:
Einband aus recyclebarem Kunststoff, Innenteil aus Papier
Ausgabe:
aktuellste lizenzierte Ausgabe **
Artikelzustand:
Neuware
Sprache:
Deutsch
Druckvariante:
schwarz/weiß ***
Lizenzierter Nachdruck der originalen Reparatur- und Werkstattanleitungen
Dieses Buch behandelt folgendes Thema: Dieselmotor

Wichtig ist es, den Motor regelmäßig zu warten, um größere Reparaturen zu vermeiden. Dazu gehören der regelmäßige Ölwechsel, die Überprüfung des Kühlmittels und das Austauschen von Verschleißteilen wie Filtern und Riemen. Eine gründliche Diagnose des Problems und das Arbeiten mit den richtigen Werkzeugen sind entscheidend, um eine erfolgreiche Reparatur des Dieselmotors zu gewährleisten und seine Lebensdauer zu verlängern.

Mit diesem Reparaturleitfaden arbeitet jede Vertragswerkstatt, sodass Sie mit dessen Hilfe alle Arbeiten fachgerecht erledigen können. Enthalten sind hierbei technische Daten und detailreiche Reparaturbeschreibungen. Je nach Thema/Inhalt der hier angebotenen Anleitung finden Sie Beschreibungen zu Aus- und Einbauarbeiten, Einstell- und Prüfarbeiten und zahlreiche Grafiken, Bilder oder Explosionszeichnungen, welche unter anderem auch das Zerlegen und Zusammenbauen ermöglichen. Benötigte Werkzeuge oder Spezialwerkzeuge werden beschrieben, sodass Sie genau wissen, was Sie für die jeweilige Reparatur benötigen.

EMPFEHLUNG! Häufig kommt es bei Arbeiten im Bereich des Dieselmotors vor, dass man diesen auch zerlegen muss. Die Unterlagen zur "Instandsetzung Dieselmotor" finden Sie in unserem Sortiment.

Bitte beachten Sie, dass in diesem Buch generell keine Stromlaufpläne enthalten sind. Aufgrund ihres Umfangs werden Schaltpläne stets separat angeboten und sind ebenfalls in unserem Shop erhältlich.
Die Buchreihe vom KFZ-VERLAG
Umfangreiche Informationen auf höchstem Niveau

Unsere Reparaturhandbücher sind gezielt in diverse Themenbereiche, Kapitel, Reparaturgruppen und Fahrzeugsektionen unterteilt, um eine bessere Übersichtlichkeit zu gewährleisten. Im Durchschnitt gibt es für jedes Fahrzeugmodell zwischen 20 bis 30 unterschiedliche Reparaturleitfäden, die sich mit Bereichen wie Karosserie, Fahrwerk, elektrischen Systemen, Motor, Getriebe und anderen Themen befassen. Zusammen bilden sie das umfassende Werkstatthandbuch und decken jedes Detail des Fahrzeugmodells ab! Wenn Sie uns darüber informieren, welche Reparaturen an Ihrem Fahrzeug notwendig sind, unterstützen wir Sie gerne dabei, die entsprechenden Dokumente zu finden.

Vorteile unserer Bindung

Unsere Bücher sind mit einer hochwertigen Kunststoffringbindung ausgestattet. Diese Bindung ermöglicht ein problemloses Umblättern bis zu 180 Grad, ohne dass der Buchrücken beschädigt wird. Der Einband besteht aus recyclebaren Kunststofffolien und schützt so vor Schmutz und Feuchtigkeit, was ideal für den Einsatz in der Werkstatt ist!

Hergestellt in Deutschland
Bücher vom KFZ-VERLAG werden in Deutschland produziert. Jedes Exemplar wird in unserer eigenen Produktion in Deutschland auf modernen und regelmäßig gewarteten Anlagen gedruckt, maschinell gestanzt und danach in Handarbeit gebunden. So können Sie sicher sein, dass jedes Buch, das unser Haus verlässt, eine Qualitätsprüfung durchlaufen hat. Auf diese Weise gewährleisten wir hohe Qualität und schnelle Lieferungen, damit unsere Kunden zufrieden sind.
Diese Unterlagen beinhalten folgende Reparaturuntergruppen
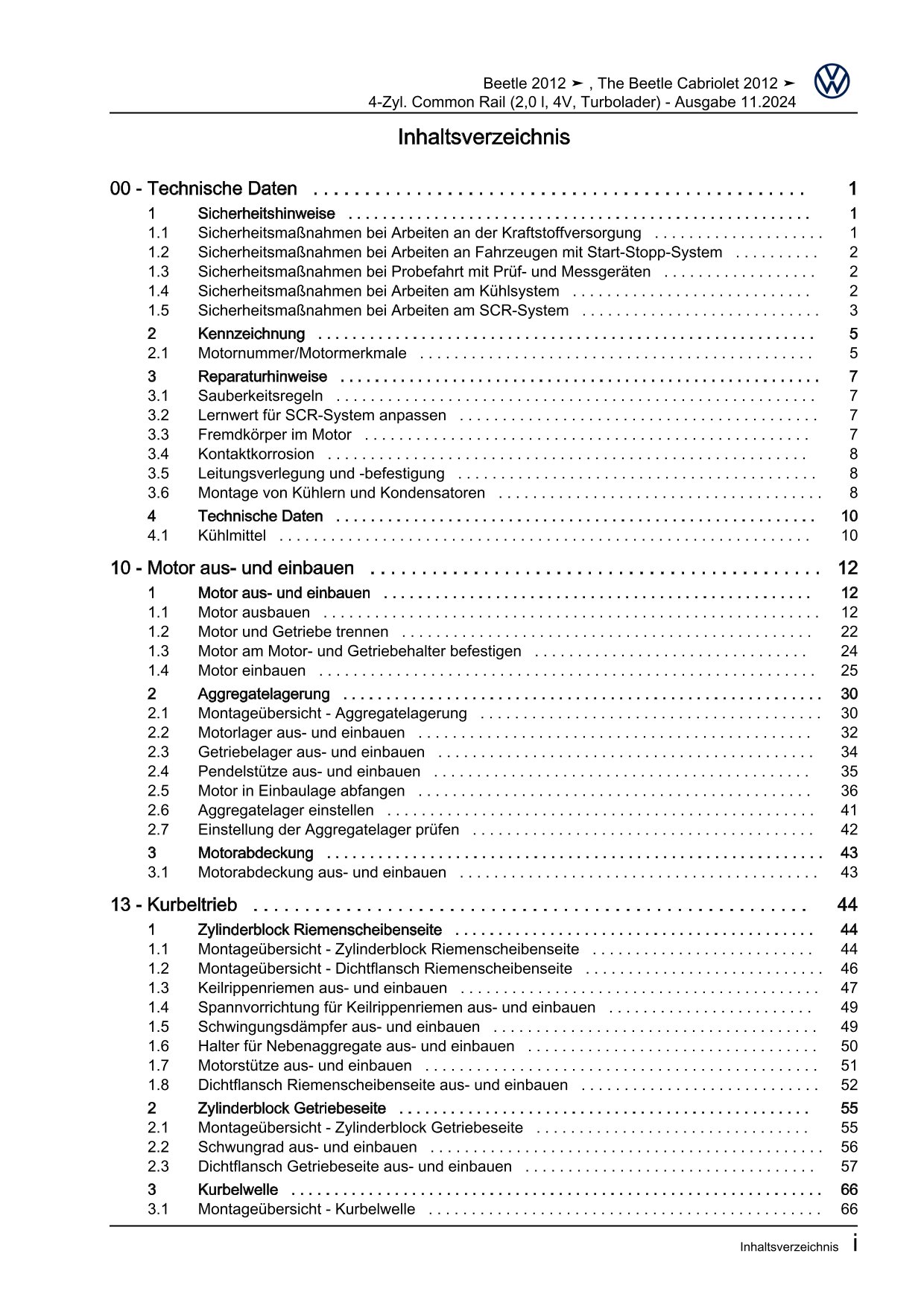
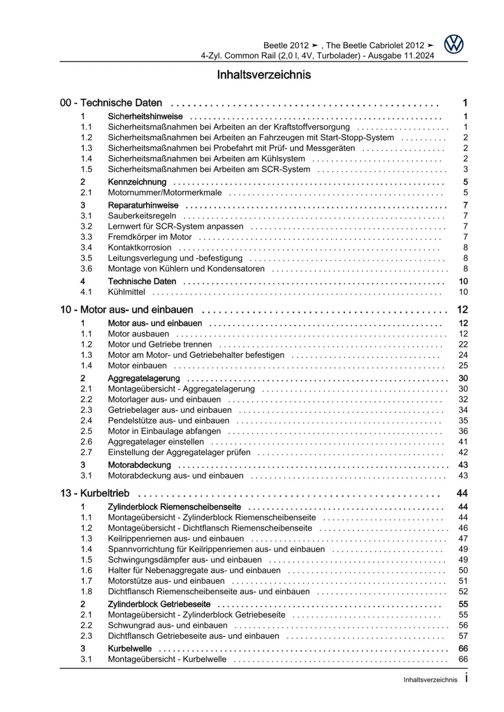
00 - Technische Daten
10 - Motor aus- und einbauen
13 - Kurbeltrieb
15 - Zylinderkopf, Ventiltrieb
17 - Schmierung
19 - Kühlung
21 - Aufladung
23 - Kraftstoffaufbereitung, Einspritzung
26 - Abgasanlage
28 - Vorglühanlage
Allgemeines Inhaltsverzeichnis
Thema - Dieselmotor ****

  • Technische Daten
  • Sicherheitshinweise
  • Kennzeichnung
  • Reparaturhinweise
  • Montageübersicht
  • Aus- und Einbauarbeiten
  • Zerlegen und zusammenbauen
  • Motor, Motorsteuergerät
  • Aggregatlagerung
  • Kurbeltrieb
  • Zylinderblock, Zylinderkopf, Ventiltrieb
  • Nebenantrieb
  • Kolben und Pleuel
  • Kurbelwelle
  • Steuerkette / Zahnriemen
  • Ein- und Auslassventile
  • Schmierung, Ölwanne / Ölpumpe, Ölfilter / Öldruckschalter, Ölkreislauf
  • Kurbelgehäuseentlüftung
  • Ausgleichswellenmodul
  • Kühlung, Kühlsystem, Kühlmittel, Kühlmittelpumpe, Kühlmittelregelung
  • Kühler, Kühlerlüfter
  • Aufladung
  • Ladeluftsystem
  • Turbolader
  • Kraftstoffaufbereitung, Einspritzung, Einspritzanlage, Einspritzventile
  • Unterdrucksystem
  • Luftfilter
  • Geber und Sensoren
  • Saugrohr
  • Hochdruckpumpe
  • Abgasanlage, Abgasrohre, Schalldämpfer, Abgasreinigung
  • Vorglühanlage, Glühkerzen
  • uvm.
Weitere Informationen
*: Dieses Produkt wird exklusiv auf Bestellung für Sie produziert. Dieser Artikel ist nicht vorgefertigt und vom Widerruf ausgeschlossen.

**: Diese Unterlagen werden fortlaufend aktualisiert und können Platzhaltergrafiken enthalten. Die Inhalte sind für den Werkstattgebrauch ausgelegt und weisen die hierfür übliche Formatierung seitens des Herstellers auf.

***: Wir bieten unsere Unterlagen in unterschiedlichen Konfigurationen an. Hierbei kann der Kunde folgende Kriterien individuell auswählen: Druckqualität, Papierqualität und Einbandqualität (jeweils in Standard oder Premium). Diese Auswahl steht nicht auf allen Plattformen zur Verfügung. Sollten Sie also keine Auswahlmöglichkeit vorfinden, so erfolgt die Produktion grundsätzlich im Standardverfahren und vollständig in schwarz/weiß.

****: Die Inhaltsangabe kann vom tatsächlichen Inhalt abweichen. Sie können in den meisten Fällen das exakte Inhaltsverzeichnis unter "Downloads" herunterladen oder in der Bildergalerie kostenfrei einsehen. Bei speziellen Fragen zum Inhalt nehmen Sie bitte vor dem Kauf mit uns Kontakt auf.

Bitte beachten Sie, dass Produktbilder teilweise beispielhaft dargestellt sein können und je nach den von Ihnen gewählten Produkteigenschaften anders aussehen können. Zur Produktdarstellung nutzen wir teilweise KI-generierte Bilder, die ausschließlich der Illustration dienen. Auch ist es nicht möglich Teilauszüge der Unterlagen zu bestellen oder einzusehen, wir bieten jedoch in allen Produkten beispielhafte Darstellungen in der Bildergalerie an. Bei Fragen zum Inhalt oder bei etwaigen Problemen nehmen Sie bitte Kontakt zu uns auf, gerne helfen wir Ihnen werktags (montags bis freitags) von 08:00 bis 14:00 Uhr weiter.
Rechtliche Informationen Volkswagen AG
Reparaturarbeiten dürfen nur von geschultem Fachpersonal durchgeführt werden. Bitte nutzen Sie bei allen Reparaturen die aufgeführten Spezialwerkzeuge.

Copyright by Volkswagen AG - Urheberrechtlich geschützt.

Kopieren für private und gewerbliche Zwecke, auch auszugsweise, nur mit Genehmigung der Volkswagen AG. Die Volkswagen AG gibt keine Gewährleistung oder Garantie hinsichtlich der Aktualität, Richtigkeit und Vollständigkeit der Angaben in diesem Dokument. Haftungsansprüche, welche sich auf Schäden materieller oder ideeller Art beziehen, die durch Nutzung oder Nichtnutzung der angebotenen Informationen bzw. durch die Nutzung fehlerhafter und unvollständiger Informationen verursacht wurden, sind grundsätzlich ausgeschlossen. Die Benutzung erfolgt auf eigene Gefahr.
Inhaltsverzeichnis
Bewerten Sie jetzt diesen Artikel und schreiben Sie uns Ihre Meinung.