%
Artikelnr.: eBook-VW-GolfVariant-1H-0008
ISBN/EAN: 9783758024993
Volkswagen AG

Inhalt/Thema: Fahrwerk Eigendiagnose für ABS

Kurzbeschreibung: Dieses E-Book zur Eigendiagnose oder Fehlerdiagnose ist ein Dokument, das Ihnen hilft, Fehler an einem Gerät oder System zu identifizieren und diese selbst zu beheben. Mithilfe von Tabellen und im Buch werden die Vorgänge übersichtlich dargestellt.
12,09 € *
Versandfertig in: Sofort (Download)
Stk.
0,91 € (7.00 %) gespart!
unser alter Preis: 13,00 €
gültig bis 26.02.2026

Weitere empfohlene Produkte:

Produktinformationen auf einen Blick
Marke:
Volkswagen
Modell:
Golf 3 Variant
Typ:
1H, 1H1, 1H2, 1H5
Baujahre:
09.1993 bis 1999
Inhalt/Thema:
Fahrwerk Eigendiagnose für ABS
Seitenzahl:
85
Verlag:
KFZ-Verlag
Artikelart:
E-Book - Downloadartikel *
Dateiformat:
PDF
Kompatibilität:
Windows, Mac, Android, IOS, Linux usw.
Erforderliche Software / App:
Adobe Acrobat Reader
Druckbar:
Nein
Wasserzeichen:
Ja (transparent im Hintergrund)
Schreib- und Kopierschutz:
Ja
Ausgabe:
aktuellste lizenzierte Ausgabe **
Artikelzustand:
Neuware
Sprache:
Deutsch
Lizenziertes E-Book der originalen Service Reparatur- und Werkstattanleitung
Dieses E-Book behandelt folgendes Thema: Eigendiagnose Fahrwerk

Mit diesem Reparaturleitfaden als E-Book arbeitet jede Vertragswerkstatt, sodass Sie mit dessen Hilfe alle Arbeiten fachgerecht erledigen können. Enthalten sind hierbei technische Daten und Informationen zur Eigendiagnose und Fehlersuche. Der Bordcomputer vereinfacht die Eigendiagnose und Fehlersuche des Fahrzeugs. Zur raschen Diagnose sind die Fehler im Steuergerät abgespeichert. Der Fehlerspeicher kann über das Fehlerauslesegerät oder über die Fehlerlampe im Schalttafeleinsatz abgefragt werden.

HINWEIS! Bitte beachten Sie, dass diese Anleitung ausschließlich für den Bereich der Eigendiagnose und Fehlersuche zum oben aufgeführten Inhalt/Thema geeignet ist.

Bitte beachten Sie, dass in diesem Buch generell keine Stromlaufpläne enthalten sind. Aufgrund ihres Umfangs werden Schaltpläne stets separat angeboten und sind ebenfalls in unserem Shop erhältlich.
Downloadartikel vom KFZ-VERLAG
Umfangreiche Reparaturinformationen auf höchstem Niveau

Unsere digitalen Reparaturhandbücher sind gezielt in diverse Themenbereiche, Kapitel, Reparaturgruppen und Fahrzeugsektionen unterteilt, um eine bessere Übersichtlichkeit zu gewährleisten. Im Durchschnitt gibt es für jedes Fahrzeugmodell zwischen 20 und 30 unterschiedliche elektronische Reparaturleitfäden, die sich mit Bereichen wie Karosserie, Fahrwerk, elektrischen Systemen, Motor, Getriebe und anderen Themen befassen. Zusammen bilden sie das umfassende Werkstatthandbuch und decken jedes Detail des Fahrzeugmodells ab! Wenn Sie uns darüber informieren, welche Reparaturen an Ihrem Fahrzeug notwendig sind, unterstützen wir Sie gerne dabei, die entsprechenden Dokumente zu finden.

Vorteile unserer E-Books

Bestellen Sie rund um die Uhr Ihre benötigten Dokumente ganz unkompliziert. Hierbei spielt es keine Rolle, ob es ein Sonn- oder Feiertag ist, unsere E-Books erreichen Sie 24/7 und das ganze Jahr über per Downloadlink. Nach dem Eingang der Zahlung auf unserem Bankkonto können Sie Ihr E-Book umgehend in Ihrem Kundenkonto herunterladen ***. Alle E-Books sind als PDF verfügbar, sodass sie mühelos auf jedem Computer, Tablet oder Smartphone geöffnet werden können. Sie sparen sich die Versandkosten, müssen nicht mehrere Tage auf die Lieferung des gedruckten Buches warten und tragen zudem zum Umweltschutz bei.

Made in Germany
Die E-Books vom KFZ-VERLAG werden in Deutschland erstellt. Daher können Sie sicher sein, dass jedes E-Book, das Sie per Download erhalten, zuvor einer sorgfältigen Qualitätsprüfung in unserem Hause unterzogen wurde. So stellen wir eine hohe Qualität sicher, und durch die digitale Zustellung garantieren wir eine schnelle Lieferung, um die Zufriedenheit unserer Kunden zu gewährleisten.
Diese Unterlagen beinhalten folgende Reparaturuntergruppen
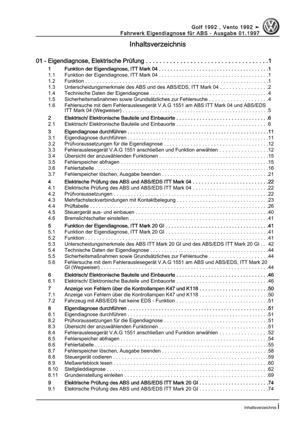
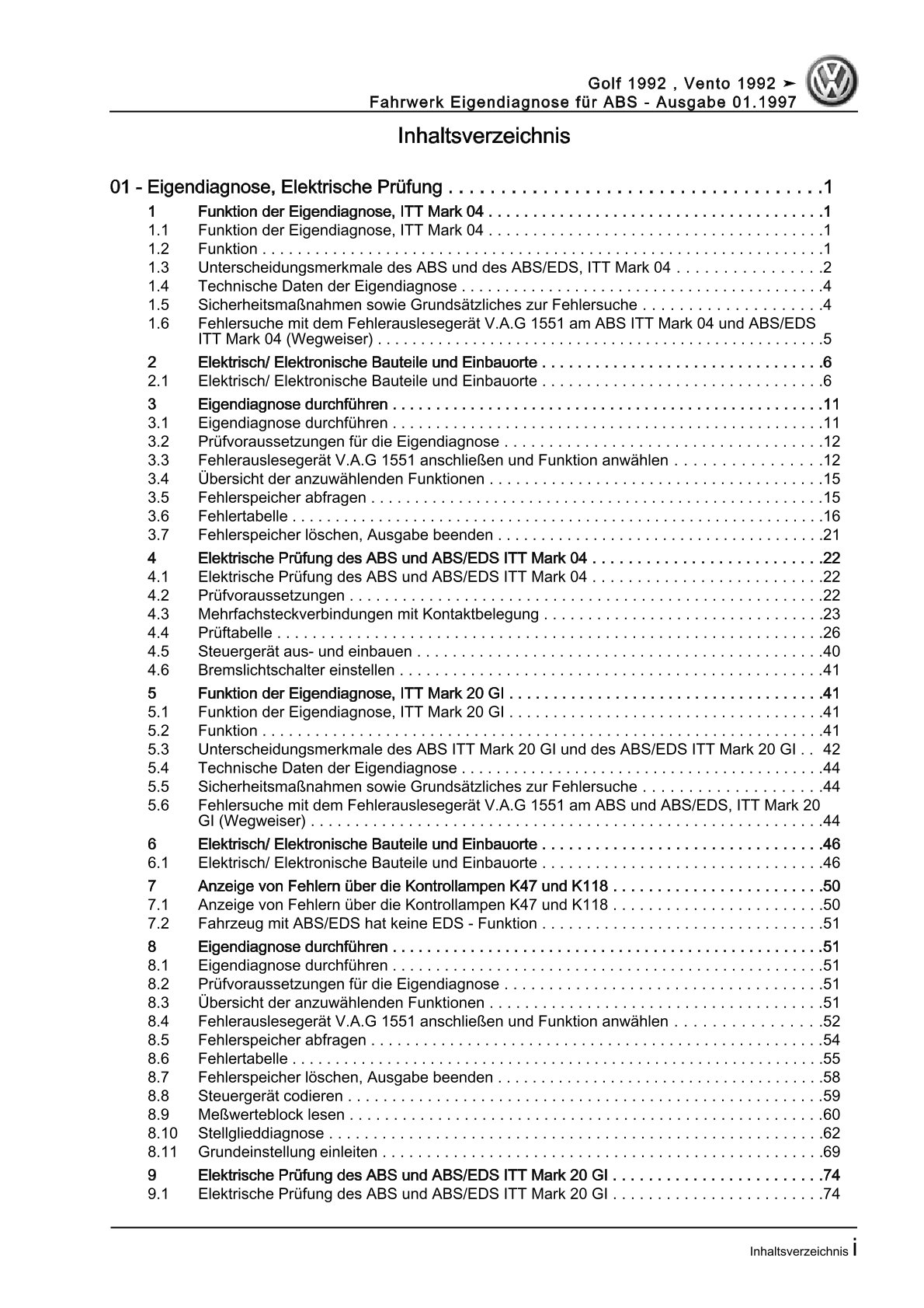
01 - Eigendiagnose, Elektrische Prüfung
Allgemeines Inhaltsverzeichnis
Thema - Eigendiagnose Fahrwerk ****

  • Eigendiagnose VAS/VAG
  • Elektrische Prüfung
  • Fehlerauslesegerät
  • Funktionen und Voraussetzungen
  • Fehlertabelle und Fehlerspeicher
  • Prüftabelle
  • Fehlerbeseitigung
  • Prüfvorraussetzungen
  • Probefahrt
  • CAN Bus
  • ABS, EDS, ASR, EBV, ESP
  • Kontrolllampenfunktion
  • Steuergerät
  • Codierung
  • Messwerteblock
  • Stellglieddiagnose
  • Hydrauliksystem
  • uvm.
Weitere Informationen
Zu unseren E-Books / Downloadartikeln FAQ gelangen Sie hier:

FAQ - Downloadartikel und E-Books

Sollte der Button zu unseren FAQ nicht angezeigt werden, gehen Sie bitte manuell zum Bereich "Fragen & Antworten (FAQ)".

*: Bitte beachten Sie, dass aus lizenzrechtlichen Gründen alle E-Books mit einem Wasserzeichen versehen sind, weiter sind alle E-Books kopiergeschützt und können nicht ausgedruckt werden.

**: Diese Unterlagen werden fortlaufend aktualisiert und können Platzhaltergrafiken enthalten. Die Inhalte sind für den Werkstattgebrauch ausgelegt und weisen die hierfür übliche Formatierung seitens des Herstellers auf.

***: Für Downloadartikel ist zwingend ein Kundenkonto erforderlich, anderenfalls ist ein Download nicht möglich!

****: Die Inhaltsangabe kann vom tatsächlichen Inhalt abweichen. Sie können in den meisten Fällen das exakte Inhaltsverzeichnis unter "Downloads" herunterladen oder in der Bildergalerie kostenfrei einsehen. Bei speziellen Fragen zum Inhalt nehmen Sie bitte vor dem Kauf mit uns Kontakt auf.

Bitte beachten Sie, dass Produktbilder teilweise beispielhaft dargestellt sein können und je nach den von Ihnen gewählten Produkteigenschaften anders aussehen können. Zur Produktdarstellung nutzen wir teilweise KI-generierte Bilder, die ausschließlich der Illustration dienen. Auch ist es nicht möglich Teilauszüge der Unterlagen zu bestellen oder einzusehen, wir bieten jedoch in allen Produkten beispielhafte Darstellungen in der Bildergalerie an. Bei Fragen zum Inhalt oder bei etwaigen Problemen nehmen Sie bitte Kontakt zu uns auf, gerne helfen wir Ihnen werktags (montags bis freitags) von 08:00 bis 14:00 Uhr weiter.
Rechtliche Informationen Volkswagen AG
Reparaturarbeiten dürfen nur von geschultem Fachpersonal durchgeführt werden. Bitte nutzen Sie bei allen Reparaturen die aufgeführten Spezialwerkzeuge.

Copyright by Volkswagen AG - Urheberrechtlich geschützt.

Kopieren für private und gewerbliche Zwecke, auch auszugsweise, nur mit Genehmigung der Volkswagen AG. Die Volkswagen AG gibt keine Gewährleistung oder Garantie hinsichtlich der Aktualität, Richtigkeit und Vollständigkeit der Angaben in diesem Dokument. Haftungsansprüche, welche sich auf Schäden materieller oder ideeller Art beziehen, die durch Nutzung oder Nichtnutzung der angebotenen Informationen bzw. durch die Nutzung fehlerhafter und unvollständiger Informationen verursacht wurden, sind grundsätzlich ausgeschlossen. Die Benutzung erfolgt auf eigene Gefahr.

Rechtliche Hinweise zu Abbildungen, Nutzungsrechten und Quellen:

Die auf dem Cover und in begleitenden Materialien dargestellten Fahrzeuge oder Fahrzeugkomponenten sind rein digital erzeugte Modellabbildungen, die durch die KFZ-VERLAG GmbH auch unter Nutzung von künstlicher Intelligenz (KI) erstellt wurden. Die Abbildungen dienen ausschließlich der illustrativen Darstellung zur besseren visuellen Zuordnung.

Sämtliche Bildrechte liegen bei der KFZ-VERLAG GmbH. Eine Nutzung, Weitergabe oder Veröffentlichung der Abbildungen außerhalb dieses Produkts ist nur mit vorheriger schriftlicher Zustimmung der KFZ-VERLAG GmbH zulässig.

Die dargestellten Fahrzeugmodelle und Visualisierungen wurden inhaltlich mit den jeweiligen Automobilherstellern abgestimmt.
Inhaltsverzeichnis
Bewerten Sie jetzt diesen Artikel und schreiben Sie uns Ihre Meinung.